Den som följer forskningen i gränslandet mellan psykologi, medicin, ekonomi, sociologi och kriminologi kan inte ha undgått att märka att genetiska förklaringsmodeller blivit allt vanligare. Rika datamaterial gör det möjligt att jämföra diverse utfall för syskon, tvillingar eller adoptivbarn och generellt tyder resultaten på att genetikens roll är stor. Ibland ifrågasätts till och med att det skulle spela någon roll i vilket social sammanhang och till och med i vilken familj man växer upp. De flesta föräldrar finner denna slutsats märklig och tämligen provocerande. Skulle det verkligen inte spela någon roll vad man som förälder gör med barnen under deras uppväxt?
Ett halmstrå för den frustrerade föräldern att gripa tag i är forskningen som undersöker betydelsen av var i syskonskaran ett barn hamnat. Genetiskt borde det inte finnas några systematiska skillnader mellan förstfödda barn och deras yngre syskon, varför systematiska skillnader i diverse utfall svårligen kan förklaras med genetik. Som förälder är det därför upplyftande att i senaste numret av Ekonomisk Debatt läsa en artikel av fyra Uppsalaforskare — två storasyskon, ett ensambarn och en lillebror — om syskonordningens betydelse. Resultaten ger emellertid också flerbarnsföräldrar anledning till viss eftertanke.
I linje med tidigare forskning finner Uppsalagruppen att syskon längre ner i syskonskalan i genomsnitt har lägre intelligens och detsamma gäller deras sociala förmågor (känslomässig stabilitet, social mognad, initiativförmåga o dyl). Skillnaderna är dessutom rätt stora; skillnaden mellan en förstfödd och en tredjefödd är 0,3 standardavvikelser i intelligens och 0,2 i social förmåga. Båda dessa mått är starkt relaterade till skolresultat och översätt till betyg motsvarar detta mellan 15 och 20 meritpoäng, vilket kan jämföras med de cirka 23 meritpoäng som i genomsnitt skiljer mellan flickor och pojkar.

Dessa skillnader avspeglar också hur det går i arbetslivet och förutom att tjäna mer är det betydligt mer sannolikt att storasyskon återfinns på chefspositioner. Däremot är det vanligare att småsyskon blir egenföretagare vilket eventuellt kan bero på att de även har svårare att få tag på — eller hålla fast vid — ett vanligt jobb.
En invändning är att familjer som skaffar flera barn skiljer sig från andra. Detta är naturligtvis sant, men alla skattningar jämför syskon inom en och samma familj. En invändning mot tolkningen att skillnaderna skulle beror på miljöfaktorer är att det kan finnas biologiska förklaringar till dem; måhända är det bättre att vara den som först nyttjar en livmoder? Studien finner emellertid att det är väsentligt vanligare för förstfödda att vårdas på sjukhus för problem som uppkommit under fosterstadiet eller förlossningen. Om något verkar alltså förstfödda ha sämre förutsättningar med sig från graviditeten ut i livet.
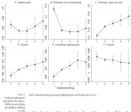
Väl framfödda försämras emellertid yngre syskons hälsa jämfört med sina storasyskon. Framförallt gäller detta skador och diverse sjukdomar där sjukhusvård hade kunnat undvikas. Däremot finns knappast några skillnader i förekomsten cancer, något som har en stark genetisk komponent. I figuren nedan visas andelen 0-6-åringar som sjukhusvårdats av diverse anledningar och i artikeln finns en likartad figur för 13-18-åringar.

Att förstfödda föds med sämre hälsa talar mot biologiska förklaringar till dessa resultat, men helt kan de inte uteslutas. Kanske kan andra biologiska fördelar vara förknippade med att vara förstfödd? Även detta kan emellertid avfärdas. Genom att undersöka familjer i vilka äldre syskon avlidit i mycket låg ålder går det nämligen att skilja på biologisk och social syskonordning. Figuren nedan, hämtad från en av originalstudierna, visar att det är yngre syskon som sitter på biologiska fördelar, inte äldre. Utan dessa fördelar hade det alltså varit ännu sämre att befinna sig längre ner i syskonskaran.

Vad som inte helt kan utslutas är att dynamiken mellan syskon ligger bakom resultaten men mycket talar för att föräldrarnas roll är central. I andra sammanhang verkar nämligen föräldrar försöka kompensera brister i skolan genom att hjälpa till mer med skolarbetet. Trots att småsyskon klarar sig sämre i skolan så finns det däremot tydliga tecken på att föräldrarna engagerar sig mindre i deras skolarbete. Småsyskon lägger också mindre tid på läxor, läser mindre och tillbringar mer av sin tid framför diverse skärmar. Bilden som framträder är därför att yngre syskon får mindre uppmärksamhet vilket hämmar deras intellektuella utveckling, samtidigt som risken för att de skadas och drabbas av andra hälsoproblem ökar.
Att stimulans och uppmärksamhet ger bättre framtidsutsikter är knappast något som förvånar men skillnaderna mellan syskon inom en och samma familj är tämligen stora. Rimligen betyder detta även att skillnader i den sociala miljön mellan familjer spelar roll och att det inte bara är gener och slump som formar oss. Även om genetiken spelar roll så finns det därför ingen anledning att tro att vår genuppsättning är allt vi har med oss.
Intressant! Tack för bra inlägg!
Flerbarnsföräldrar som har sett nyblivna förstagångsföräldrar överbeskydda sin förstfödde från alla (om ens) upptänkliga faror himlar med ögonen. Man behöver inte ett skyddsavstånd på fem meter till ett saltkar under det första året! Men kanske är det detta som slår igenom i de förstföddas överlägsna hälsa?
Delvis, eftersom just skador och olyckor är vanligare bland yngre syskon. Sen verkar man vänta längre med att gå till läkare eftersom en stor ökning finns för sjukdomar som inte hade behövt sjukhusvård om de hade uppmärksammats tidigare. Ser man till äldre barn (13-18, finns i artikeln) så verkar även psykiska åkommor vara betydligt vanligare bland yngre syskon.
Finns det resultat om hur tiden mellan barn påverkar? Det vore bra för Sveriges framtida föräldrar att veta den optimala väntetiden till barn 2, till exempel!
Det finns sådan forskning men resultaten verkar rätt spretiga så jag vill inte säga något utan att vara mer inläst. Det är naturligtvis rätt problematiskt att undersöka då avståndet mellan barnen inte är slumpmässigt utan sannolikt beror på vad det äldre barnet har för personlighet och karaktär.
Jag hade gissat att den sista meningen skulle lyda:
Det är naturligtvis rätt problematiskt att undersöka då avståndet mellan barnen inte är slumpmässigt utan sannolikt beror på vad *föräldrarna* har för personlighet och karaktär.
Är det inte en större faktor?
Micke, det går att kontrollera för om man jämför olika syskon i samma familj (och samma föräldrar). Då behöver man dock titta på familjer med minst 3 barn (så det finns två intervall att undersöka). Problemet Jonas tar upp kvarstår dock.
Forskning med en sådan design hittar inga skillnader baserat på avstånd till syskon (även för mycket korta avstånd).
Bra ansats till forskning. Emellertid verkar vissa slutsatser kontraintuitiva och inte riktigt i linje med tidigare psykologisk forskning. Jag har alltid hört att den förstfödde är inbunden, den andrafödde ”komplicerad” och den tredjefödde socialt. Ni verkar därvidlag kommit fram till motsatt slutsats. Hmm!
Det finns relativt lite trovärdig evidens om hur syskonordning påverkar personligheten eftersom det finns ett antal metodproblem förknippade med att mäta effekter av födelseordning. För att hantera olika slags confounders krävs därför stora och representativa datamaterial där det (i princip) är möjligt att jämföra syskon från samma familj. Psykologisk forskning baseras främst på små material, är ofta betingad med olika metodproblem, och kommer till olika slutsatser rörande hur syskonordning påverkar personlighet.
För sisådär tio år sen var jag på en gerontologisk konferens i USA, där en biodemograf presenterade en studie om prediktorer för exceptionell livslängd (>100 år). En betydande prediktor var just syskonordningen. Förstfödda levde längre än yngre syskon. Men han menade att det var helt betingat av moderns ålder vid graviditet och födsel. När hänsyn togs till den, så återstod inget samband. Presentationen avslutades med att han, med emfas, upprepade frasen: ”Good eggs go first!”.
I våra studier drivs inte resultaten av detta: I analysmodellen är mammans ålder vid barnets födelse balanserat mellan barn av olika ordning. När vi sedan separerar biologisk och social ordning bland syskon (se exempelvis sista figuren i Jonas bloggpost) finner vi dessutom att det rent biologiskt är en fördel att vara senarefödd. I en dansk studie finner Brenøe och Molitor också att senarefödda syskon har högre födelsevikt (https://link.springer.com/article/10.1007/s00148-017-0660-1). Fördelen med att vara tidig i syskonskaran beror enligt våra resultat enbart på miljöfaktorer.
Här är en bloggare som kommit fram till att kända matematiker var äldsta syskon i långt högre grad än kan förklaras av slumpen: https://www.lesswrong.com/posts/tj8QP2EFdP8p54z6i/historical-mathematicians-exhibit-the-less-wrong-birth-order
En alternativ förklaring skulle möjligen kunna vara regression to the mean. Att föräldrar som får ovanligt intelligenta barn (i förhållande till deras förväntningar) är mer benägna att skaffa fler barn, och att sannolikheten för att dessa barn ska vara ännu intelligentare är låg, men sannolikeheten att de ska vara mer normalintelligenta, dvs med lägre intelligens då är högre.
Detta är en naturlig invändning som vi delvis undersökt. Vi finner visst stöd för att föräldrar vars förstfödda barn har låg social förmåga (såsom det är mätt) visserligen är mindre benägna att skaffa fler barn, men simuleringar visar samtidigt att detta inte kan driva resultaten. Se https://www.ifau.se/globalassets/pdf/se/2016/wp2016-18-born-to-lead.pdf
Så synd kanske det inte är om småsyskonen. De flesta modellerna i samtida forskning är estimat efter att man har kontrollerat för periodeffekter (som är typiskt sätt uppåtgående över tid). Om man bara jämför absoluta värden mellan syskon (dvs den observerade verkligheten) så brukar de senare födda klara sig ungefär lika bra (eller bättre).
https://doi.org/10.1016/j.rssm.2018.02.001
Småsykon födda år x tävlar inte primärt med sina syskon utan med storasyskon födda år x. Vidare är det inget generellt mönster att den högre utbildningen expanderar och det är inte heller uppenbart att mer högre utbildning kan kompensera för småsyskonens svagare intellekt och karaktär.
Det du säger om att de klarar sig sämre än sina klasskamrater är helt sant, och jag tycker det är en mycket rimlig forskningsfråga att försöka förstå sykoneffekter också i en konstant omgivning.
Dock är det väll svårt att både från ett föräldraperspektiv och ett samhällsperspektiv tycka synd om de yngre sysken, om det de facto faktiskt får högre utbildning och klarar sig bättre än sina äldre syskon. Ska flerbarnsföräldrar verkligen kompensera och ge de yngsta barnen mer uppmärksamhet än de ger dem idag, om yngre syskon under rådande förhållanden redan får högre utbildning än de äldsta syskonen? Det är nog inget perspektiv på rättvisa i familjen som så många skulle dela.
IQ har ju också för övrigt haft en extremt stark ökning de senaste århundradet (sett siffror kring 2 standardavikelser) , även om viss forskning tyder på att den utvecklingen avstannat de senaste decenniet.
De får bara mer utbildning om utbildningslängden generellt ökar, vilket inte är generellt sant. 90-talets utbyggnad av högskolan skedde tex efter en lång period av konstant storlek. Inte heller tror jag högskolan expanderat nämnvärt efter denna stora utbyggnad.
Det är oklart på vilket sätt de klarar sig bättre än sina äldre syskon. Generell tillväxt kan visserligen kompensera de yngre syskonen för deras sämre förmågor men det beror på om de värderar relativ eller absolut inkomst. Dessutom måste deras sämre fysiska och psykiska hälsa tas med i beräkningen.
IQ steg men har sen länge vänt ner. Peak IQ i Sverige lär vara kohorten född 1972 och det finns likartade resultat från flera länder. Yngre syskon är alltså dubbelt drabbade.
Så jag tyckte exemplet var intressant att ta upp, eftersom det illustrerar något generellt med samtida forskning.Forskare använder sig av ytterst specifika modeller, där väldigt många aspekter är konstanthållna (sykon, år, skolor, län, ålder etc). Forskning om familjedynamik är ett bra exempel där ålder, period, förälders ålder, ordning i syskonskaran, och avstånd mellan syskon, och kohort alla är kraftigt korrelerade. Forskare har ofta mycket goda anledningar för de forskningssdesinger de väljer (som i forskningen ovan). Dock så finns det en tendens att den observerade verkligheten ofta försvinner bort ur sikt, och ersättas med resultat från ytterst konditionella specifikationer. Det gäller i viss mån från forskaren själv när den beskriver sina modeller i slutsats och inledning, men i ännu högre grad när forskningen beskrivs av andra i mer generalla termer.
I det här fallet tycker jag till exempel inte man kan prata om att det är synd om yngre syskon, eller att de förtjänar extra hänsyn om det faktiskt klarar sig bättre. Ingen förälder blir upprörd över att tredje barnet Emma bara gick på universitetet 3 år (något mindre än sina gymnasieklasskamrater), när 10 år äldre barnet Eva gick på universitetet 2 år (ungefär samma som sina klasskamrater). Ungefär samma resonemang lär stämma för hälsa och medellivslängd. Det förminskar naturligtvis inte forskningens värde (forskningsfrågan är intresseant), eller värde av att presentera för allmänheten.
Om vi antar, som de flesta forskare och finansdepartment, att vi kommer fortsätta att ha ungefär 2% real tillväxt de närmaste decennierna, så lär de tidsserier på mängder av aspekter fortsätta att förbättras över tid (dock inte alla, som fysisk hälsa). Hälsa och medellivslängd förväntas också fortsätta förbättras stadigt. Effekten av att vara 3-4 år senare född är då forstätta sannolikt större än syskonordningseffekter, precis som de varit för de flesta observerade variablerna de senaste århundradet.
Suck. Synfel är 100% genetiskt – dags att sluta sälja glasögon.