Få av dem som är intresserade av utbildningsfrågor kan ha missat att resultaten från de internationella undersökningarna TIMSS och PIRLS släpptes häromdagen. Resultaten var nedslående med sjunkande resultat i läsförståelse (åk 4) och matematik (åk 8). Resultaten i matte (åk 4) och no (åk 8) var oförändrade medan resultaten i no för årskurs 4 förbättrades. Vad som dock inte nämts i rapporteringen är hur skillnaderna mellan hög- och lågpresterande elever utvecklats sedan förra undersökningen.
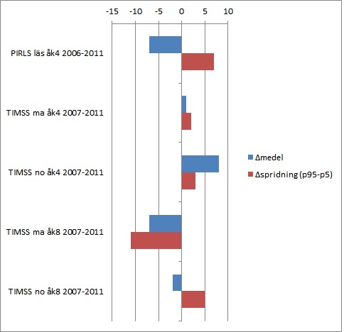
Som syns i figuren ovan är bilden splittrad. Medan sjunkande genomsnittsresultat i fjärdeklassarnas läsförståelse går hand i hand med ökad spridning mellan hög- och lågpresterare så är det högpresterarna som försämrat sig mest i matte i årskurs åtta. Däremot finns en tendens till ökad spridning bland åttondeklassarnas no-kunskaper och för övriga prov är förändringarna små. Precis som tidigare är det med andra ord svårt att dra några tydliga slutsatser om hur resultatspridningen i skolan förändrats över tid (se även detta inlägg och Skolverkets rapport om likvärdighet i skolan).
Tyvärr finns det anledning att tro att den negativa utvecklingen i svensk skola kommer att fortsätta; slutsatsen i Peter Fredrikssons och min rapport till Finanspolitiska rådet förra året var att regeringens åtgärder knappast kommer att vända utvecklingen. Än mindre hoppfull blir man när man letar efter kommentarer från dem som faktiskt är huvudmän för skolan. Kommunernas intresseorganisation SKL anser att det finns mycket i TIMSS/PIRLS som är positivt, bland annat att eleverna känner sig trygga i skolan. Att elever mellan åk 4 till åk 8 går från att anse matte/no vara roligt till att se det som tråkiga ämnen samt att svenska lärare är minst nöjda med sina arbetsvillkor i EU/OECD glömmer man däremot bort (se även Skolverkets rapport om TIMSS). Friskolornas representanter verkar inte anse det vara deras sak att kommentera TIMSS/PIRLS.
Det finns ingen enkel lösning på skolans problem, men jag tror att staten måste ta en mer aktiv roll i det löpande kvalitetsarbetet. Detta beror både på att huvudmännen på grund av geografiska och temporala externa effekter har begränsade incitament att satsa på utbildning (se tex detta inlägg) och på att kompetensen i utbildningsfrågor på kommunal nivå är ytterst varierad. Att 290 kommuner ska ha parallella utbildningsförvaltningar som ska försöka komma fram till hur undervisning bäst bedrivs förefaller vara en tveksam ordning. Dagens Skolinspektion har framförallt rollen som kontrollant av regelverket och tillhandahåller därför inte det stöd i skolutvecklingsfrågor som sannolikt krävs.

Du kommer inte på en mycket intressant fråga på slutet. Hur får man igång ett konstruktivt förbättringsarbete i skolorna? Din slutkommentar tyder på att lösningen (enbart) skulle ligga i att ha expertis. Forskning och central styrning och kontroll behövs, men det viktigaste är som jag ser det att det bedrivs ett systematiskt utvecklingsarbete på basplanet, där man lär från egna erfarenheter och prövar nya idéer som kommer utifrån/uppifrån. Om många kommuner är för små för att leda detta, så är nog en central statlig myndighet ofta alltför avlägsen. Regionerna borde ha en roll alltså. Jag tror att det kan vara en mer konstruktiv väg att gå än att fastna i frågan om återförstatligande.
Jag kan hålla med. Dock tror jag inte bara problemet beror på storlek utan även på externaliteter (dvs incitament) och det välkända fenomenet att det är svårt att behålla kritisk distans till verksamhet som man själv är ansvarig för. Exakt hur en myndighetsstruktur för konstruktiv skolutveckling bäst utformas låter jag vara osagt, men jag tror det är bra om den hålls isär från Skolinspektionen. Rimligtvis bör man viss lokal kännedom så jag kan absolut tänka mig att regionerna kan spela en roll. Hur som helst ser jag ett glapp i dagens struktur.
Om man bara tog in lärare på lärarhögskolorna som var tillräckligt duktiga, säg de som minst hade 4.2 i medel enligt 1980-års skala skulle mycket vara vunnet. Detta torde innebära att nästan inga skulle accepteras på lärarhögskolorna. Men jag skulle själv hellre se att en avdankat civiliingenjör, utan formell kompetens, undervisar mina barn, än någon som knappt har godkänt i kärnämnena och som blivit lärare eftersom det var det enda de kom in på.
Om man dessutom avskaffade ”pedagogik” och ägnade lärarutbildningen till metodik kommer man ytterligare en bit på vägen. Kollegors respektive som är lärare säger att de inte lärde sig något om hur man undervisar, bara världsfrånvänd teori. Jag tycker att det är fascinerande att Rousseau kan överhuvud taget diskuteras. Han satte alla sina fem barn på barnhem, barnhem där sannolikheten för att överleva var 2-3 procent.
När min bror läste ett år på lärarhögskolan kring 1990 kom han fram till att ett år på lärarhögskolan kan hämtas in på 3 veckor om man håller samma studietakt som på biologlinjen.
Jag håller definitivt med om att bättre metodikundervisning i lärarutbildningen vore en viktig del i att bygga ett bättre skolväsende. Metodiken ska lärarstudenter få genom sin praktik. Min erfarenhet är att det inte är en särskilt lyckad tanke. Jag finner det graverande att jag uppfattar det som att lärde mig mer om undervisning av tre timmars samtal med examinatorn från lärarutbildningen efter att hon observerat mig under några lektioner än vad jag lärde mig av resten av mina sista tio veckors (av totalt trettio) praktik med en vanlig lärare.
Jag håller dock inte med om att pedagogiken borde avskaffas. Om ditt problem är Rousseau så är väl det bara ett namn som fladdrar förbi som ett exempel på hur idéer om uppfostran och utbildning skiftat under historien på liknande sätt som vi tar upp Michelson–Morley som bakgrund till relativitetsteorin på fysiken. Men det sagt så finns det problem både i pedagogikämnet och dess plats på den svenska lärarutbildningen. Men de perspektiv jag fick av pedagogiken känns helt oundgängliga för att tänka runt min undervisning och skolan i stort.
Jag gick i Uppsala och läste min biologi med biologerna och större delen av de lärarspecifika kurserna på dåvarande institutionen för lärarutbildning. Min upplevelse av studietakten är att den i ett avseende var likvärdig på båda ställena och i ett annat närmade sig det din bror beskrivit. Att ambitiöst följa utbildningen, läsa och begripa all anvisad litteratur osv. var för mig lika tidskrävande på bägge platserna. Bland biologerna fanns det förväntningar på att man skulle göra det och genom examinationen även vissa krav i den riktningen. På lärarutbildningen gjorde examinationsformerna (i stort sett endast hemtentor+muntligt ”deltagande” i seminarier) och stämningen många studenter emellan att det var i princip frivilligt att förstå vad vi tänktes lära oss på lärarkurserna.
(För den intresserade så har läget förändrats radikalt på den fronten i Uppsala sedan jag gick där. Numera är inte examinationen i första hand ett bra lärandetillfälle utan i första hand just examination så följaktligen skriver lärarstudenter salstentor när det passar sig.)
avdankad ska det stå… För att svara på frågan på variabilitet så torde den bero på att somliga barn fortfarande får hyfsade lärare medan många andra får sekunda vara. En kollegas sjuåring hoppar upp och ner i klassen. Nu framåt jul har man kommit fram till siffran 9. Att börja med alla siffrorna på en gång är väl för svårt för läraren att begripa själv.
Frågan som väcks blir kanske huruvida endimensionell spridning i kunskap är en bra empirisk konstrukt. Spretiga resultat kan väl ofta tyda på behov av dimensionsökning?
Hur mycket forskning finns det på hur ordning och reda i skolan påverkar resultaten, samt vilken kultur som framhärdas i klassrummet.
Finns det moment i svensk skola idag där barn får nötningsuppgifter som de måste avsluta osv.
Är ett visst mått av disciplin och drillning att önska?
Problemet är att skutan inte kan vändas så lätt. En stor andel av dagens lärare saknar ämneskompetens och vet inte hur man lär ut. Här bär en bristande lärarutbildning med låga intagningskrav en stor skuld, eftersom många av dagens lärare tillhör de minst akademiskt kompetenta akademikerna. Låga förväntningar på barnen (i synnerhet pojkar, invandrare, och arbetarbarn) och misslyckande med att backa upp barn som inte får hjälp med läxor och annat hemifrån förstärker problemen ytterligare. Många rektorer och andra skolledare klarar inte av att ge nödvändig pedagogisk vägledning, med följd att lärare inte lär av varandra såsom en lärande organisation förutsätter, och skolan stagnerar snarare än utvecklas. Lösningen är kraftig vidareutbildning av dagens lärare, förbättrad lärarutbildning, samt stor lönespridning mellan kompetenta och inkompetenta lärare, möjligen i kombination med vissa regelförändringar i LAS osv. för att kunna rensa skolan från samhällsfarlig inkompetens.
Det kanske är ofint att säga det, men alla människor kan inte utbildas till alla nivåer. För att komma tillbaka till hur lärarstocken såg ut 1968 måste man tyvärr antagligen avskeda hälften eller fler av de nuvarande lärarna, ersätta dem med andra, och vidareutbilda allihop med 2-3 år.
”Att 290 kommuner ska ha parallella utbildningsförvaltningar som ska försöka komma fram till hur undervisning bäst bedrivs förefaller vara en tveksam ordning.”
Det kan man kalla veckans understatement… 🙂
Jag har nygligen sett följande uppgift som jag fann intressant, men inte har en aning om den är sann eller inte. Men Ekonomistas läsare kan säkert ge besked. Det sägs att västvärlden i runda slängar lägger ner lika mycket pengar på utbildning (på alla nivåer) som på sjukvård (av alla de slag), men att det satsas ungefär 100 gånger mer på forskning kring hur sjukvård ska bedrivas jämfört med hur utbildning ska bedrivas. Sant eller inte?
Helt värdelösa pedagogiska koncept har tillåtits dominera svensk skola under minst två
decennier, t ex ämnesövergripande arbetslag, åldersblandade klasser, att elever skall ta
den största delen av ansvaret för sin inlärning, den handledande läraren, ”forskning”,
tidskrävande loggboksskrivande i st f undervisning, PBL. Varför inte tillsätta en haverikommission med uppgift att studera denna utveckling. Hur har det gått till och vems är ansvaret?
Ca fem decennier. Alva Myrdal började förespråka tokerier redan på 50-talet. Palme och Ingvar Karlsson var de utbildningsministrar som genomdrev det ursprungliga förstörelsearbetet. LGR 68 hette dödsdomen över den svenska skolan.
På vilket sätt då?
Följande katastrofer drabbade bland annat skolan 1968 eller strax där efter:
– Avskaffandet av realskolan, både den praktiska och den teoretiska. Dessa var synnerligen populära bland elever och föräldrar.
– Införande av skolplikt i nio år och samlad skolgång. Trots att försöksverksamheten varit ett misslyckande och synnerligen impopulär.
– Andelen som behövde stödundervisning gick från 3 till 40 procent.
– Mycket sämre studieresultat för de teoretiskt studiebegåvade eleverna.
– Uppkomsten av ”skoltrötthet” bland dem som inte var så inte intresserade av teoretiska ämnen. Skoltrötthet fanns knappt tidigare.
– Kaos i klassrummen. Kom med det samlade högstadiet.
– Avskaffandet av betyg från första klass. En äldre kompis, född 63 fick betyg från första klass, jag, född 64 fick det från tredje.
– Den ”nya matematiken”. Mängdlära i ettan istället för att lära sig räkna. Lärarna fattade ingenting. Lärde mig nyligen att han som drev detta var påtänkt som rektor för KTH, men när någon kom på hur han förstört skolan så fick han inte bli det.
– Skrivstilen avskaffades 1971. I Sollefteå fortsatte vi ett år till så jag fick lära mig skriva i skrivstil i tvåan 1972, men min syster fick lära sig ”den nya skrivstilen” 1973. Den kom till för att datorer skulle kunna läsa det man skriver. Sade man i alla fall till oss.
– Avskaffandet av studentexamina.
Om allt detta, utom mängdlära, skrivstil och studentexamina kan du läsa i Karin Hadenius avhandling i statskunskap.
Ett litet påpekande. De mycket sämre resultaten för studiebegåvade elever visade sig endast i mycket få jämförelser. Man avstod nämligen medvetet nästan helt från att göra sådana.
Helt uttalat var dock att man bröt mot Kants påbud att inte använda människor som medel. Teoretiska begåvningar sågs som verktyg för att hjälpa de som hade det svårare (det fungerade inte). Samtidigt var syftet att teoretiska begåvningar skulle frottera sig med arbetarklassen. Eller, som resultatet blev, bli mobbade och sönderslagna på rasterna.
Undertallen: intressant. Men jag tvekar på om det är värt att lägga 300 kr på att få läsa den avhandlingen. I övrigt så lärde jag mig både skrivstil och textning i ända upp till 3-4e klass (minnet sviker mig något) i slutet av 80-talet.
Kul att du fann det intressant. Jag lånade Hadenius bok på statsbiblioteket i Linköping, den torde finnas på många bibliotek då avhandlingen såldes kommersiellt. Den är lite knölig att läsa (kantig i stilen), men innehållet är intressant.
Det man kallade ”skrivstil” efter 1971 var inte alls samma sak. Här är en bild på den gamla, från 1835, fast så fick vi lära oss också i tvåan 1972 i Sollefteå (som sagt, vi fortsatte ett år till):

Micke! Tanken är ju att dessa förvaltningar bidrar positivt till skolans
utveckling och säkerställer det lokala inflytandet. Så var ju retoriken 1989.
Det delförklarar också varför vi i Sverige använder endast 53% av skolpengen
i undervisningen, när genomsnittsnivån i Europa är 63%